Ejercicio Cociente de Monomios

, por dani

Realiza las siguientes operaciones con monomios:
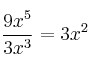
 \frac{9x^5}{3x^3} =
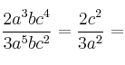
 \frac{2a^3bc^4}{3a^5bc^2} =

SOLUCIÓN:

 \frac{9x^5}{3x^3} =3x^2
 \frac{2a^3bc^4}{3a^5bc^2} =\frac{2c^2}{3a^2} =