Ejercicio 2681 - Problemas
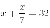
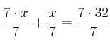
Calcula dos números sabiendo que suman 32 y que uno de ellos es la séptima parte del otro
SOLUCIÓN



![]()
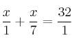
![]()
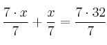
![]()

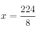
![]()
Un número es ![]()
El otro número es 
28 y 4
Calcula dos números sabiendo que suman 32 y que uno de ellos es la séptima parte del otro



![]()
![]()
![]()

![]()
Un número es ![]()
El otro número es 
28 y 4