Ej 2 de Punto Medio de un Segmento
Halla los puntos medios de los siguientes segmentos:
–
–
–
– ![]()
SOLUCIÓN
Las coordenadas del punto medio de un segmento
se calculan con la fórmula:

– ![]()

– ![]()

– ![]()

– ![]()

Halla los puntos medios de los siguientes segmentos:
–
–
–
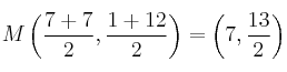
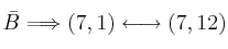
– ![]()
Las coordenadas del punto medio de un segmento
se calculan con la fórmula:

– ![]()

– ![]()

– ![]()

– ![]()
