Ej 2 de Dividir un Segmento en ’n’ partes iguales
Deduce las coordenadas de los puntos que dividen al segmento
en 3 partes iguales, siendo ![]()
SOLUCIÓN




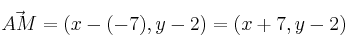
![]()
![]()
Igualamos componente a componente
![]()
Si además queremos calcular el punto ![]()
Podemos establecer la relación siguiente:




![]()
![]()
![]()
Veamos si las soluciones son correctas dibujando en el plano todos los puntos