Ecuaciones segundo grado

, por dani

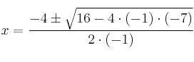
Resuelve la ecuación -x^2 + 4x - 7 = 0

SOLUCIÓN:

-x^2 + 4x - 7 = 0
x=\frac{-4 \pm \sqrt{16- 4 \cdot (-1) \cdot (-7)}}{2 \cdot (-1)}
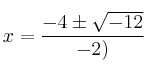
x=\frac{-4 \pm \sqrt{-12}}{-2)}
No tiene soluciones reales