Ecuaciones primer grado denominadores
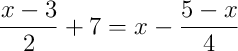
Resuelve la ecuación:

SOLUCIÓN
Resolvemos la ecuación:

Ponemos 1 como denominador a los términos que no tengan denominador:

El mínimo común múltiplo de los denominadores es mcm(2, 4) = 4.
Multiplicamos todos los términos por 4 para eliminar los denominadores:
![]()
Eliminamos los paréntesis multiplicando por el factor que hay delante (o detrás):
![]()
Distinguimos los términos con "x" y los términos sin "x"
![]()
Colocamos a un lado los que llevan "x" y al otro los números
![]()
Agrupamos términos
![]()
Despejamos "x"

![]()