Ecuaciones exponenciales

, por dani

Resuelve la ecuación 4^{x^2-11x+30} = 16

SOLUCIÓN:

4^{x^2-11x+30} = 16
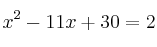
4^{x^2-11x+30} = 4^2
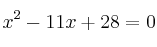
x^2-11x+30 = 2
x^2-11x+28 = 0
Resolvemos la ecuación de segundo grado y obtenemos:
\fbox{x= 4} y \fbox{x=7}