Ecuaciones de primer grado sin denominadores ni paréntesis
Resuelve las siguientes ecuaciones:
– a)
– b)
– c) ![]()
SOLUCIÓN
Resolvemos la ecuación:
![]()
Distinguimos los términos con "x" y los términos sin "x"
![]()
Colocamos a un lado los que llevan "x" y al otro los números
![]()
Agrupamos términos
![]()
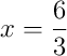
Despejamos "x"

![]()
Resolvemos la ecuación:
![]()
Distinguimos los términos con "x" y los términos sin "x"
![]()
Colocamos a un lado los que llevan "x" y al otro los números
![]()
Agrupamos términos
![]()
![]()
Resolvemos la ecuación:
![]()
Distinguimos los términos con "x" y los términos sin "x"
![]()
Colocamos a un lado los que llevan "x" y al otro los números
![]()
Agrupamos términos
![]()
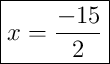
Despejamos "x"

El signo menos (-) debe ir en el numerador
