Ecuaciones de primer grado con paréntesis 2967

, por dani

Resuelve la ecuación:

3(5x+9)-3(x-7)=11(x-2)+7


SOLUCIÓN:

Primero debemos quitar los paréntesis

\underbrace{3\textcolor{red}{(}5x+9\textcolor{red}{)}}_{3\cdot 5x+3\cdot 9}-3(x-7)=11(x-2)+7

15x+27\underbrace{-3\textcolor{red}{(}x-7\textcolor{red}{)}}_{(-3)\cdot x+(-3)\cdot (-7)}=11(x-2)+7

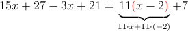
15x+27-3x+21=\underbrace{11\textcolor{red}{(}x-2\textcolor{red}{)}}_{11\cdot x+11\cdot (-2)}+7

15x+27-3x+21=11x-22+7