Ecuaciones de primer grado con paréntesis 2965

, por dani

Resuelve la ecuación:

3(x-1) -2x = 5(2-x)-12

SOLUCIÓN:

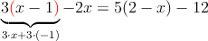
Primero quitamos paréntesis

\underbrace{3\textcolor{red}{(}x-1\textcolor{red}{)}}_{3\cdot x+3\cdot (-1)}-2x=5(2-x)-12

3x-3-2x=5(2-x)-12

3x-3-2x=\underbrace{5\textcolor{red}{(}2-x\textcolor{red}{)}}_{5\cdot 2+5\cdot (-x)}-12

3x-3-2x=10-5x-12