Ecuaciones de primer grado con denominadores 2972

, por dani

Resuelve la ecuación:

7 + \frac{x}{2} = 8 + \frac{4x}{3}


SOLUCIÓN:

7 + \frac{x}{2} = 8 + \frac{4x}{3}


Ponemos denominador 1 a los que no tengan denominador

\frac{7}{1} + \frac{x}{2} = \frac{8}{1} + \frac{4x}{3}


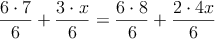
m.c.m.(2,3)=6

\frac{6 \cdot 7}{6} + \frac{3 \cdot x}{6} = \frac{6 \cdot 8}{6} + \frac{2 \cdot 4x}{6}


\frac{42}{6} + \frac{3x}{6} = \frac{48}{6} + \frac{8x}{6}


Quitamos denominadores

42+3x=48+8x

Solución: x = - \frac{6}{5}