Ecuaciones Segundo Grado

, por dani

Resuelve las ecuaciones:
 3x^2+2x+1=0
 x^2-4x+4=0
 2x^2+2x-4=0

SOLUCIÓN:

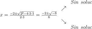
3x^2+2x+1=0
\begin{array}{ccc} & & Sin \:\: soluc\\ & \nearrow &\\ x=\frac{-2\pm \sqrt{2^2-4 \cdot3\cdot1}}{2 \cdot3}=\frac{-2\pm \sqrt{-8}}{6}& &\\ & \searrow &\\& &Sin \:\: soluc\end{array}
No tiene soluciones reales

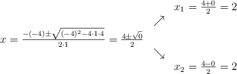
x^2-4x+4=0
\begin{array}{ccc} & & x_1 = \frac{4+0}{2}=2\\ & \nearrow &\\ x=\frac{-(-4)\pm \sqrt{(-4)^2-4 \cdot1\cdot4}}{2 \cdot1}=\frac{4\pm \sqrt{0}}{2}& &\\ & \searrow &\\& &x_2 = \frac{4-0}{2}=2\end{array}

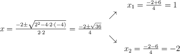
2x^2+2x-4=0
\begin{array}{ccc} & & x_1 = \frac{-2+6}{4}=1\\ & \nearrow &\\ x=\frac{-2\pm \sqrt{2^2-4 \cdot2\cdot(-4)}}{2 \cdot2}=\frac{-2\pm \sqrt{36}}{4}& &\\ & \searrow &\\& &x_2 = \frac{-2-6}{4}=-2\end{array}