Ecuación irracional resuelta

, por dani

Resuelve la ecuación: 4\cdot\sqrt{x-2}=x+2

SOLUCIÓN:

4\cdot\sqrt{x-2}=x+2


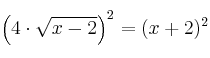
\left(4\cdot\sqrt{x-2}\right)^2=(x+2)^2


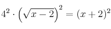
4^2 \cdot \left(\sqrt{x-2}\right)^2=(x+2)^2


16 \cdot (x-2)=x^2+2^2 + 2 \cdot 2 \cdot x


16x-32=x^2+4 + 4x


-x^2+12x-36=0



\begin{array}{ccc} & & x_1 = \frac{-12+0}{-2}=6\\ & \nearrow &\\ x=\frac{-12\pm \sqrt{12^2-4 \cdot(-1)\cdot(-36)}}{2 \cdot(-1)}=
 \frac{-12\pm \sqrt{0}}{-2}& &\\ & \searrow &\\& &x_2 = \frac{-12-0}{-2}=6\end{array}

Comprobamos la solución:
4\cdot\sqrt{x-2}=x+2
4\cdot\sqrt{6-2}=6+2
4\cdot\sqrt{4}=8
4\cdot 2=8
Es CORRECTA