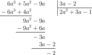
División de polinomios Jueves 22 de noviembre de 2007, por dani | operaciones_con_polinomios Ejercicios_Resueltos división_clásica_polinomios Efectúa la siguiente división de polinomios: SOLUCIÓN: Cociente: Resto: