Despejar x en una expresión. Ejercicio 4552

, por dani

Despeha x en la expresión \frac{2x-a}{b}=\frac{2x-b}{a}

SOLUCIÓN:

En primer lugar eliminamos denominadores haciendo productos cruzados:

\frac{2x-a}{b}=\frac{2x-b}{a}

(2x-a) \cdot a = (2x-b) \cdot b

Eliminamos paréntesis

2x \cdot a -a \cdot a  = 2x \cdot b - b \cdot b

2ax  -a^2  = 2bx - b^2

2ax -2bx   = a^2 - b^2

(2a-2b) x = a^2 - b^2

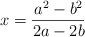
x = \frac{a^2 - b^2}{2a - 2b}

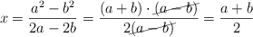
Ya tenemos despejado x, pero se puede simplificar.

Si usamos las fórmulas de los productos notables en el numerador y sacamos factor común en el denominador, tendríamos:

x = \frac{a^2 - b^2}{2a - 2b}=\frac{(a+b) \cdot \cancel{(a-b)}}{2 \cancel{(a - b)}} = \frac{a+b}{2}