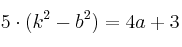
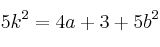
Despejar variable. Ejemplo resuelto 💬 1 despejar_variableEjercicios_Resueltos Despeja en la expresión SOLUCIÓN Comentar el ejercicio Mensajes 10 de junio de 2015, 15:57, por Aura Fields No sale cómo se hace...
Mensajes
10 de junio de 2015, 15:57, por Aura Fields
No sale cómo se hace...