Cociente de polinomios por división clásica y por Ruffini
Calcula el cociente y el resto de las siguientes divisiones de polinomios:
–
–
SOLUCIÓN:
Haremos la división de dos formas: por la división clásica de polinomios y por la Regla de Ruffini
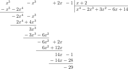
apartado a)
![\polylongdiv[style=D]{x^5-x^3+2x-1}{x+2} \polylongdiv[style=D]{x^5-x^3+2x-1}{x+2}](local/cache-vignettes/L440xH239/3a9d7cea18e96d73cbd5f9f610568892-055ce.png?1688064929)
![\polyhornerscheme[x=-2, resultstyle=\color{red},resultbottomrule,resultleftrule,resultrightrule]{x^5-x^3+2x-1} \polyhornerscheme[x=-2, resultstyle=\color{red},resultbottomrule,resultleftrule,resultrightrule]{x^5-x^3+2x-1}](local/cache-vignettes/L335xH82/61158497ba7b051791f0cfcf68029f6c-c9ada.png?1688061329)
Cociente: ![]()
Resto: ![]()
apartado b)
![\polylongdiv[style=D]{2x^3-3x^2+4x+8}{x-3} \polylongdiv[style=D]{2x^3-3x^2+4x+8}{x-3}](local/cache-vignettes/L280xH151/b56389102ebf2c970c3f6d7f00c0996e-77e91.png?1688061329)
![\polyhornerscheme[x=3, resultstyle=\color{red},resultbottomrule,resultleftrule,resultrightrule]{2x^3-3x^2+4x+8} \polyhornerscheme[x=3, resultstyle=\color{red},resultbottomrule,resultleftrule,resultrightrule]{2x^3-3x^2+4x+8}](local/cache-vignettes/L186xH82/8b847ea33c1f00cdfb10277153f8f8f6-01596.png?1688064929)
Cociente: ![]()
Resto: ![]()
Matemáticas IES