Cociente de Polinomios

, por dani

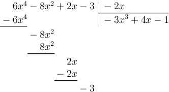
Sean los polinomios:

 A(x) = 6x^4-8x^2+2x-3
 B(x) = -2x

Calcula \frac{A(x)}{B(x)}

SOLUCIÓN:

\polylongdiv[style=D]{6x^4-8x^2+2x-3}{-2x}

Cociente: \: -3x^3+4x-1
Resto: \: -3