Calcular derivadas
Calcula las derivadas de las siguientes funciones usando las reglas de derivación:
–
–
–
–
– ![]()
SOLUCIÓN
– 


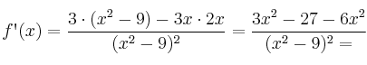
– ![]()
![]()
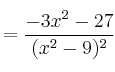
– ![]()

– ![]()
![]()
– 

Calcula las derivadas de las siguientes funciones usando las reglas de derivación:
–
–
–
–
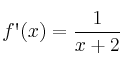
– ![]()
– 


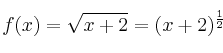
– ![]()
![]()
– ![]()

– ![]()
![]()
– 
