3003 - Cociente de Fracciones
Calcula y simplifica:
– a)
– b) 
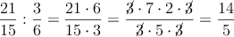
SOLUCIÓN:
Debemos recordar como se dividen fracciones
Cociente de fracciones
cómo dividir fracciones
matematicasies.com
– a) ![]()
– b) ![]()
Calcula y simplifica:
– a)
– b) 
SOLUCIÓN:
Debemos recordar como se dividen fracciones
– a) ![]()
– b) ![]()