Navega sin publicidad Regístrate GRATIS

trigonometría resolución de triángulos

Ejercicios_Resueltostrigonometría

Resuelve el siguiente triángulo:

SOLUCIÓN

Resolver un triángulo es calcular el valor de todos sus lados y de todos sus ángulos.

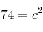
Para el lado que falta (le llamamos "c"), aplicamos Pitágoras:

7^2+5^2=c^2
49+25=c^2
74=c^2
\sqrt{74}=c

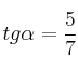
Ahora calculamos sus ángulos. Dado que el triángulo es rectángulo, podemos aplicar las razones trigonométricas. En este caso se puede usar seno, coseno o tangente. Usaremos, por ejemplo, la tangente:

tg \alpha = \frac{5}{7}
Por tanto, \alpha = arc \: tg \left( \frac{5}{7} \right)

Usando la calculadora obtenemos un valor aproximado de:
 \alpha = 35.54^0

Entonces  \beta = 90 -35.54^0
 \beta = 54.56^0

En todo triángulo la suma de sus ángulos es de 180 grados.
Si el triángulo es rectángulo, uno de sus ángulos vale 90 y los otros 90 restantes se los reparten entre los otros dos ángulos.

Comentar el ejercicio