sistemas lineal 2x2
Resuelve el sistema de ecuaciones:

SOLUCIÓN

Debemos observar que las ecuaciones se pueden simplificar.
En la 1ª ecuación se puuede dividir todo por 6
En la 2ª ecuación se puuede dividir todo por 2000
Método de Sustitución
Despejamos una incógnita en una de las ecuaciones y sustituimos esa expresión en la otra, obteniendo una ecuación con una sola incógnita.
Sistema de partida:

Paso previo · Elegimos qué incógnita despejar
El coeficiente de x en la Ec.1 es 1: despejamos x de esa ecuación porque no aparecerán fracciones.
Paso 1 · Despejamos x de la primera ecuación
![]()
Paso 2 · Sustituimos x en la segunda ecuación
![]()
Paso 3 · Desarrollamos el paréntesis
![]()
Paso 4 · Agrupamos los términos con y a un lado y los números al otro
![]()
Paso 5 · Despejamos y

Paso 6 · Sustituimos y en la expresión del Paso 1 para hallar x


Solución

Método de Igualación
Despejamos la misma incógnita (x) en las dos ecuaciones e igualamos las expresiones resultantes. Así obtenemos una ecuación con solo y.
Sistema de partida:

Paso 1 · Despejamos x de la primera ecuación
![]()
![]()
Paso 2 · Despejamos x de la segunda ecuación
![]()
![]()
Paso 3 · Como ambas expresiones son iguales a x, las igualamos entre sí
![]()
Paso 4 · Multiplicamos en cruz para eliminar los denominadores
![]()
Paso 5 · Desarrollamos los paréntesis
![]()
Paso 6 · Pasamos todos los términos con y a la izquierda y los números a la derecha
![]()
Paso 7 · Despejamos y

Paso 8 · Sustituimos y en la expresión del Paso 1 para hallar x


Solución

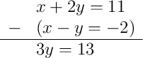
Método de Reducción
Multiplicamos las ecuaciones por números adecuados de forma que, al sumar o restar, una incógnita se elimine.
Sistema de partida:

Paso previo · Elegimos la incógnita a eliminar
Los coeficientes de x ya coinciden en valor absoluto (1), no necesitamos multiplicar.
Paso 1 · Mismo signo en x: restamos para eliminarla

Paso 2 · Despejamos y

Paso 3 · Sustituimos y en la primera ecuación para hallar x
![]()



Solución
