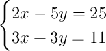
sistemas lineal 2x2
Resuelve el sistema de ecuaciones:

SOLUCIÓN
Método de Sustitución
Despejamos una incógnita en una de las ecuaciones y sustituimos esa expresión en la otra, obteniendo una ecuación con una sola incógnita.
Sistema de partida:

Paso previo · Elegimos qué incógnita despejar
Ningún coeficiente es 1 ni −1. Elegimos despejar x de la Ec.1 (coeficiente 2, el menor en valor absoluto).
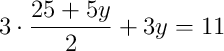
Paso 1 · Despejamos x de la primera ecuación
![]()

Paso 2 · Sustituimos x en la segunda ecuación

Paso 3 · Multiplicamos todos los términos por 2 para eliminar el denominador
![]()
Paso 4 · Agrupamos los términos con y a un lado y los números al otro
![]()
Paso 5 · Despejamos y

Paso 6 · Sustituimos y en la expresión del Paso 1 para hallar x


Solución

Método de Igualación
Despejamos la misma incógnita (x) en las dos ecuaciones e igualamos las expresiones resultantes. Así obtenemos una ecuación con solo y.
Sistema de partida:

Paso 1 · Despejamos x de la primera ecuación
![]()

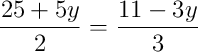
Paso 2 · Despejamos x de la segunda ecuación
![]()

Paso 3 · Como ambas expresiones son iguales a x, las igualamos entre sí

Paso 4 · Multiplicamos en cruz para eliminar los denominadores
![]()
Paso 5 · Desarrollamos los paréntesis
![]()
Paso 6 · Pasamos todos los términos con y a la izquierda y los números a la derecha
![]()
Paso 7 · Despejamos y

Paso 8 · Sustituimos y en la expresión del Paso 1 para hallar x


Solución

Método de Reducción
Multiplicamos las ecuaciones por números adecuados de forma que, al sumar o restar, una incógnita se elimine.
Sistema de partida:

Paso previo · Elegimos la incógnita a eliminar
Los coeficientes de x son 2 y 3, primos entre sí. Multiplicamos la Ec.1 por 3 y la Ec.2 por 2.
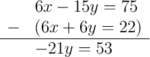
Paso 1 · Sistema equivalente tras multiplicar
![]()
![]()
Paso 2 · Mismo signo en x: restamos para eliminarla

Paso 3 · Despejamos y

Paso 4 · Sustituimos y en la primera ecuación para hallar x
![]()



Solución

Mensajes
29 de enero de 2015, 20:29
Hola buenas creo que la solución de este ejercicio esta mal ya que y=25-2•130/21/-5 ; y=25-260/21/-5•(-5) ; -5y=25-260/21•21 ; -105y=25-260 ; -105/-105=-235/-105;y=-235/-105;235/105;47/21 lo cual dice que y=47/21
29 de enero de 2015, 22:30, por dani
Hemos repasado el sistema y las soluciones son correctas.
Un saludo.