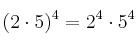
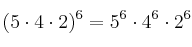
potencias 💬 2 Ejercicios_Resueltospotencias Expresa el resultado como un producto de potencias – a) – b) SOLUCIÓN – a) – b) Comentar el ejercicio Mensajes 7 de octubre de 2019, 00:42, por alex ¿Por qué da 2 elevado a 4 x 5 elevado a 4 y no 10 elevado a cuatro? 7 de octubre de 2019, 08:35, por dani Porque el enunciado dice que expreses el resultado en forma de producto de potencias
Mensajes
7 de octubre de 2019, 00:42, por alex
¿Por qué da 2 elevado a 4 x 5 elevado a 4 y no 10 elevado a cuatro?
7 de octubre de 2019, 08:35, por dani
Porque el enunciado dice que expreses el resultado en forma de producto de potencias