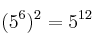
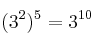
potencias Ejercicios_Resueltospotencias Expresa el resultado en forma de potencia – a) – b) SOLUCIÓN – a) – b) Comentar el ejercicio