funciones gráfica
Representa gráficamente la función:
![]()
SOLUCIÓN
Representamos la parábola ![]()
Paso 1 · Cálculo del vértice
La abscisa del vértice:

Sustituimos
:

La ordenada del vértice, sustituyendo
en
:
![]()
![]()
Paso 2 · Orientación de la parábola
Como
, la parábola abre hacia arriba
.
El vértice
es el punto más bajo de la curva.
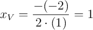
Paso 3 · Cortes con los ejes
Corte con el eje
— hacemos
:
![]()
Corte con el eje
: ![]()
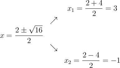
Corte con el eje
— hacemos
:
Igualamos
:
![]()
Aplicamos la fórmula general:

Con
:


![]()
Puntos de corte con el eje
:
y ![]()
Paso 4 · Otros puntos
Calculamos puntos adicionales. Por ejemplo, para
:
![]()

Los puntos
y
son simétricos respecto al eje
.
Paso 5 · Gráfica completa de ![]()
Unimos todos los puntos con la curva: