funciones ecuación_recta
Halla la ecuación de la recta que pasa por los puntos
y ![]()
SOLUCIÓN
Podemos expresar la ecuación de cualquier recta de la forma:
![]()
Si pasa por
Si pasa por
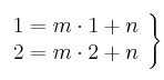
Tenemos un sistema de 2 ecuaciones con 2 incógnitas (m y n):

Lo ordenamos:

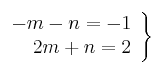
Lo resolvemos por reducción: multiplicamos la primera ecuación por (-1) y sumamos ambas ecuaciones:

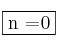
No queda 
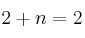
Ahora calculamos n en cualquiera de las ecuaciones:
![]()
![]()
![]()

Por tanto la ecuación de la recta es:
![]()
![]()