funciones
Consideremos la parábola
.
Se pide:
– a) vértice
– b) corte con los ejes de coordenadas
– c) las imágenes de los puntos -2, 2 y 4
– d) representación gráfica
SOLUCIÓN
– a) La primera coordenada de vértice de una parábola
se calcula con la fórmula 
La aplicamos a la parábola ![]()

Calculamos la segunda coordenada:
Si
El vértice es ![]()
– b) corte con los ejes de coordenadas
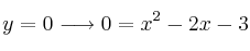
Si
Punto de corte: ![]()
Si
Tenemos que resolver la ecuación de segundo grado

Por tanto si y=0 entonces x=3 y x=-1
Los puntos de corte son
– c) las imágenes de los puntos -2, 2 y 4
Si
Si
Si

– d) representación gráfica