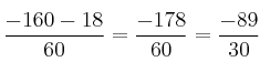
fracciones operaciones Ejercicios_Resueltosfraccionesoperaciones_con_fracciones Calcula y simplifica: SOLUCIÓN Comentar el ejercicio