estadística intervalo_confianza proporciones
Tomada, al azar, una muestra de 120 estudiantes de una Universidad, se encontró que 54 de ellos hablaban inglés. Se pretende repetir la experiencia para conseguir que la cota del error que se comete al estimar, por un intervalo de confianza, la proporción de alumnos que hablan inglés en esa Universidad no sea superior a 0,05, con un nivel de confianza del 99%. ¿Cuántos alumnos tendríamos que tomar, como mínimo, en la muestra?
SOLUCIÓN
La fórmula del intervalo de confianza para la proporción:

– Proporción de la muestra:
– Proporción de la población: no se conoce, por tanto tomamos la de la muestra
– Tamaño de la muestra:
– Valor crítico para una confianza del ![]()
Miramos la tabla de la N(0,1) y obtenemos ![]()
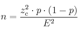
El error responde a la fórmula:

de donde podemos despejar "n" obteniendo:

Sustituyendo en la fórmula por los datos del problema obtenemos n=656.43 aproximadamente, por tanto n debe ser mayor o igual que 657 (para que el error sea menor o igual a 0.05)