ecuaciones segundo grado incompletas
Resuelve las siguientes ecuaciones sin aplicar la fórmula general:
a) 
b) ![]()
SOLUCIÓN
Resolvemos la ecuación:

Ponemos 1 como denominador a los términos sin denominador:

El mínimo común múltiplo de los denominadores es mcm(5) = 5.
Multiplicamos todos los términos por 5 para eliminar los denominadores:
![]()
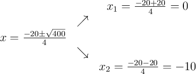
Aplicamos la fórmula general:

Los coeficientes son: ![]()
Sustituimos:


![]()
![]()
─────
Resolvemos
por el método de las incompletas:
Sacamos
como factor común:
![]()
Un producto es cero si alguno de los factores es cero:
![]()
De la segunda:
→ ![]()
![]()
Resolvemos la ecuación:
![]()
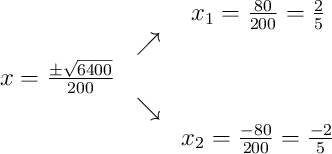
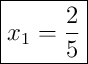
Aplicamos la fórmula general:

Los coeficientes son: ![]()
Sustituimos:




─────
Resolvemos
por el método de las incompletas:
Despejamos
:
![]()



Mensajes
3 de diciembre de 2006, 11:14, por dani
– a)

– b)