ecuaciones segundo grado denominadores
Resuelve la ecuación:

SOLUCIÓN
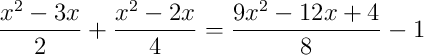
Resolvemos la ecuación:

Primero eliminamos los paréntesis:

Ponemos 1 como denominador a los términos sin denominador:

El mínimo común múltiplo de los denominadores es mcm(2, 4, 8) = 8.
Multiplicamos todos los términos por 8 para eliminar los denominadores:
![]()
Eliminamos los paréntesis:
![]()
Agrupamos y ordenamos (pasamos todo al lado izquierdo):
![]()
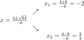
Aplicamos la fórmula general:

Los coeficientes son: ![]()
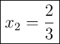
Sustituimos:


![]()

Mensajes
3 de diciembre de 2006, 12:03, por dani