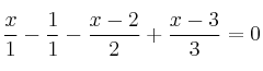
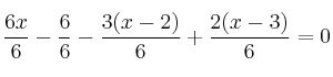
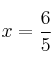
ecuaciones primer grado denominadores ecuacionesecuaciones con denominadoresecuaciones de primer gradoEjercicios_Resueltos Resuelve la ecuación: SOLUCIÓN m.c.m.(2,3) = 6 Comentar el ejercicio