ecuaciones grado2 incompleta
Resuelve la ecuación: ![]()
SOLUCIÓN
Resolvemos la ecuación:
![]()
Agrupamos y ordenamos (pasamos todo al lado izquierdo):
![]()
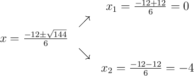
Aplicamos la fórmula general:

Los coeficientes son: ![]()
Sustituimos:


![]()
![]()
─────
Resolvemos
por el método de las incompletas:
Sacamos
como factor común:
![]()
Un producto es cero si alguno de los factores es cero:
![]()
De la segunda:
→ ![]()
![]()