ecuaciones grado2
Resuelve la ecuación: ![]()
SOLUCIÓN
Resolvemos la ecuación:
![]()
Aplicamos la fórmula general:

Los coeficientes son: ![]()
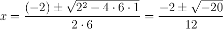
Sustituimos:

El discriminante
:
La ecuación no tiene soluciones reales
Resuelve la ecuación: ![]()
Resolvemos la ecuación:
![]()
Aplicamos la fórmula general:

Los coeficientes son: ![]()
Sustituimos:

El discriminante
:
La ecuación no tiene soluciones reales