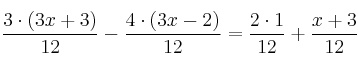
ecuaciones grado1 denominadores 💬 1 ecuacionesecuaciones con denominadoresecuaciones de primer gradoEjercicios_Resueltos Resuelve la ecuación: SOLUCIÓN Comentar el ejercicio Mensajes 30 de noviembre de 2006, 15:03, por dani
Mensajes
30 de noviembre de 2006, 15:03, por dani