ecuaciones grado1 denominadores
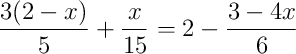
Resuelve la ecuación: 
SOLUCIÓN
Resolvemos la ecuación:

Primero eliminamos los paréntesis:

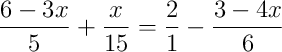
Ponemos 1 como denominador a los términos que no tengan denominador:

El mínimo común múltiplo de los denominadores es mcm(5, 6, 15) = 30.
Multiplicamos todos los términos por 30 para eliminar los denominadores:
![]()
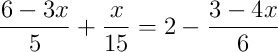
Eliminamos los paréntesis multiplicando por el factor que hay delante (o detrás):
![]()
Distinguimos los términos con "x" y los términos sin "x"
![]()
Colocamos a un lado los que llevan "x" y al otro los números
![]()
Agrupamos términos
![]()
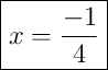
Despejamos "x"

El signo menos (-) debe ir en el numerador
