ecuaciones grado1 denominadores
Resuelve la ecuación: 
SOLUCIÓN

Ponemos un "1" a los que no tienen denominador

![]()

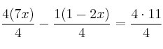
Eliminamos denominadores:
![]()
![]()
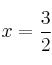
![]()
Simplificamos el resultado:

Resuelve la ecuación: 

Ponemos un "1" a los que no tienen denominador

![]()

Eliminamos denominadores:
![]()
![]()
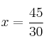
![]()
Simplificamos el resultado:
