ecuaciones grado1 denominadores
Resuelve la ecuación:

SOLUCIÓN
Resolvemos la ecuación:

El mínimo común múltiplo de los denominadores es mcm(2, 3) = 6.
Multiplicamos todos los términos por 6 para eliminar los denominadores:
![]()
Eliminamos los paréntesis multiplicando por el factor que hay delante (o detrás):
![]()
Distinguimos los términos con "x" y los términos sin "x"
![]()
Colocamos a un lado los que llevan "x" y al otro los números
![]()
Agrupamos términos
![]()
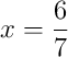
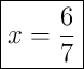
Despejamos "x"


Mensajes
17 de noviembre de 2011, 14:08, por yoe
no entiendo la parte donde estan los n°6 en la parte donde estan los tres seguidos
19 de abril de 2013, 14:18, por LILIANA CUELLO
4x+6+3x =6.3=18 4x+3x=7x —18-6=12 7x=12.1/7=12/7 x=12/7 No es 6/7 porque el resultado es 6/3 0 sea 3 2.12/7/3+12/7/2=6/3 o sea 3