ecuaciones grado1 denominadores
Resuelve la ecuación:

SOLUCIÓN
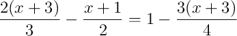
Resolvemos la ecuación:

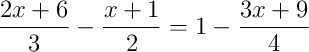
Primero eliminamos los paréntesis:

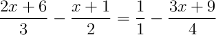
Ponemos 1 como denominador a los términos que no tengan denominador:

El mínimo común múltiplo de los denominadores es mcm(2, 3, 4) = 12.
Multiplicamos todos los términos por 12 para eliminar los denominadores:
![]()
Eliminamos los paréntesis multiplicando por el factor que hay delante (o detrás):
![]()
Distinguimos los términos con "x" y los términos sin "x"
![]()
Colocamos a un lado los que llevan "x" y al otro los números
![]()
Agrupamos términos
![]()
Despejamos "x"

![]()
Mensajes
30 de noviembre de 2006, 15:14, por dani