ecuaciones grado1 denominadores
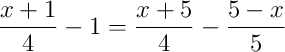
Resuelve la ecuación:

SOLUCIÓN
Resolvemos la ecuación:

Ponemos 1 como denominador a los términos que no tengan denominador:

El mínimo común múltiplo de los denominadores es mcm(4, 5) = 20.
Multiplicamos todos los términos por 20 para eliminar los denominadores:
![]()
Eliminamos los paréntesis multiplicando por el factor que hay delante (o detrás):
![]()
Distinguimos los términos con "x" y los términos sin "x"
![]()
Colocamos a un lado los que llevan "x" y al otro los números
![]()
Agrupamos términos
![]()
Despejamos "x"

El signo menos (-) debe ir en el numerador
![]()
Mensajes
30 de noviembre de 2006, 15:11, por dani