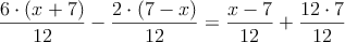
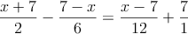
ecuaciones grado1 denominadores 💬 1 ecuacionesecuaciones con denominadoresecuaciones de primer gradoEjercicios_Resueltos Resuelve la ecuación: SOLUCIÓN m.c.m.(2,6,12)=12 Comentar el ejercicio Mensajes 30 de noviembre de 2006, 15:09, por dani
Mensajes
30 de noviembre de 2006, 15:09, por dani