ecuaciones grado1 denominadores
Resuelve la ecuación:

SOLUCIÓN
Resolvemos la ecuación:

Primero eliminamos los paréntesis:

Ponemos 1 como denominador a los términos que no tengan denominador:

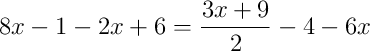
El mínimo común múltiplo de los denominadores es mcm(2) = 2.
Multiplicamos todos los términos por 2 para eliminar los denominadores:
![]()
Eliminamos los paréntesis multiplicando por el factor que hay delante (o detrás):
![]()
Distinguimos los términos con "x" y los términos sin "x"
![]()
Colocamos a un lado los que llevan "x" y al otro los números
![]()
Agrupamos términos
![]()
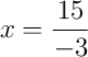
Despejamos "x"

El signo menos (-) debe ir en el numerador
![]()
Mensajes
30 de noviembre de 2006, 14:59, por dani