ecuaciones grado superior producto de factores
Resuelve la ecuación: ![]()
SOLUCIÓN
Ecuación en forma factorizada:
![]()
Aplicamos la regla del producto nulo: el producto es cero cuando alguno de sus factores lo es.
Factor 1:

Factor 2:
Ecuación de grado 2:
![]()
Paso 1 — Factor común:
![]()
Forma factorizada:
![]()
Regla del producto nulo:
![]()
![]()
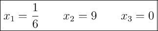
Solución:
![]()
Solución:
