despejar variable
Despeja
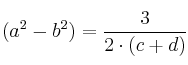
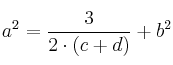
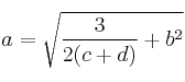
en la expresión:
SOLUCIÓN

Si la variables a despejar está en un denominador, no debemos despejarla directamente, debemos quitar denominadores antes.
El denominador del lado derecho (que está dividiendo) puede pasar (multiplicando) al lado izquierdo
![]()
Observa que hemos puesto un paréntesis a



Mensajes
14 de septiembre de 2011, 02:30, por Anerol
senh (100/a) - senh (-100/a) = 210