Navega sin publicidad Regístrate GRATIS

Superficie y perímetro

áreaEjercicios_Resueltosgeometría

Halla el perímetro y el área de la siguiente figura:

SOLUCIÓN

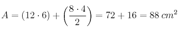
Para calcular el área dividimos la figura en rectángulo + triángulo

A = (12 \cdot 6) + \left( \frac{8 \cdot 4}{2} \right)=72+16=88 \: cm^2

Para calcular el perímetro necesitamos conocer lo que mide el lado "a" (lo calculamos aplicando el teorema de Pitágoras)

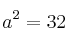
a^2=4^2+4^2
a^2=16+16
a^2=32
a=\sqrt{32} \: cm

Entonces el perímetro será:

P = 12+6+12+1+1+ \sqrt{32} + \sqrt{32} = 32+ 2 \sqrt{32} \approx 43.3 \: cm

Comentar el ejercicio