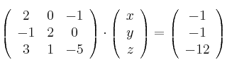
Sistema en su expresión matricial
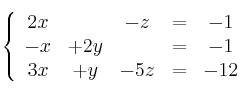
Dado el siguiente sistema:
– a) Escribe la matriz de los coeficientes, la matriz ampliada, la de las incógnitas y la de los términos independientes. Expresa el sistema en forma matricial
– b) Resuelve el sistema por el método que desees (Cramer o Gauss). A la vista de las soluciones, ¿de qué tipo es el sistema?
SOLUCIÓN
En primer lugar debemos expresar el sistema de forma ordenada
Matriz de los coeficientes:
Matriz ampliada:
Matriz de las incógnitas:
Matriz de los términos independientes:
Sistema expresado en forma matricial
![]()

– b) Discutimos el sistema aplicando el Teorema de Rouché

![]()
Como
y el número de incógnitas es también 3, según el teorema de Rouché se trata de un S.C.D. (Sistema Compatible Determinado).
Lo resolvemos por la regla de Cramer


