Navega sin publicidad Regístrate GRATIS

Selectividad Murcia Junio 2013 A3

💬 2

  asíntotascorte_ejesdominioEjercicios_Resueltosestudio global de funciónextremosfuncionesgráficamonotonía

Para la función f(x)=\frac{x^2}{x-1} , se pide:
a) Dominio de definición y puntos de corte con los ejes.
b) Estudio de las asíntotas (verticales, horizontales y oblicuas).
c) Intervalos de crecimiento y decrecimiento. Extremos (máximos y mínimos).
d) Representación gráfica aproximada.

SOLUCIÓN

f(x)=\frac{x^2}{x-1}

Dominio

Dom(f)=R - \{1\}

Corte con los ejes

Si x=0 \longrightarrow y=\frac{0^2}{0-1} = 0
Punto de corte (0,0)

Si y=0 \longrightarrow 0=\frac{x^2}{x-1} \longrightarrow x^2= 0 \longrightarrow x= 0
Punto de corte (0,0)

Asíntotas verticales

Tiene asíntota vertical en x=1

\lim_{x \rightarrow 1^-} \frac{x^2}{x-1}= \frac{1^2}{1-1} = \frac{1}{0^-}= -\infty
\lim_{x \rightarrow 1^+} \frac{x^2}{x-1}= \frac{1^2}{1-1} = \frac{1}{0^+}= +\infty

Asíntotas horizontales

\lim_{x \rightarrow \infty} \frac{x^2}{x-1} = \infty

No tiene asíntotas horizontales

Asíntota oblicua

Si tiene asíntota oblicua, debe responder a la ecuación y=mx+n
donde m=\lim_{x \rightarrow \infty}\frac{f(x)}{x} y n=\lim_{x \rightarrow \infty}\left( f(x)-mx \right)

m= \lim_{x \rightarrow \infty} \frac{\frac{x^2}{x-1}}{x} = \lim_{x \rightarrow \infty} \frac{x^2}{x^2-x} = 1

n=\lim_{x \rightarrow \infty}\left( \frac{x^2}{x-1}-x \right)=\lim_{x \rightarrow \infty}\frac{x}{x-1}=1

La asíntota oblicua es \textcolor{blue}{y=x+1}

Monotonía y extremos

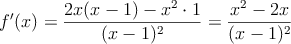
f^{\prime}(x)=\frac{2x(x-1)-x^2 \cdot 1}{(x-1)^2}=\frac{x^2-2x}{(x-1)^2}

f^{\prime}(x)=0 \longrightarrow \frac{x^2-2x}{(x-1)^2}=0  \longrightarrow x^2 -2x=0\longrightarrow x=0 ; x=2

Las soluciones anteriores junto al dominio de la función determinan los intervalos a considerar para la monotonía

(-\infty,0) \qquad (0,1)  \qquad (1,2) \qquad (2, +\inifty)

Tomamos un punto de cada intervalo y analizamos el signo de la derivada

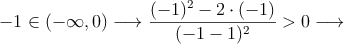
-1 \in (-\infty,0) \longrightarrow \frac{(-1)^2-2 \cdot (-1)}{(-1-1)^2}>0 \longrightarrow CRECE

0.5 \in (0,1) \longrightarrow \frac{(0.5)^2-2 \cdot (0.5)}{(0.5-1)^2}<0 \longrightarrow DECRECE

1.5 \in (1.2) \longrightarrow \frac{(1.5)^2-2 \cdot (1.5)}{(1.5-1)^2}<0 \longrightarrow DECRECE

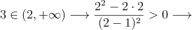
3 \in (2,+\infty) \longrightarrow \frac{2^2-2 \cdot 2}{(2-1)^2}>0 \longrightarrow CRECE

(-\infty,0) (0,1) (1,2) (2, +\inifty)
\nearrow \searrow \searrow \nearrow

Los resultados anteriores y la continuidad de la función nos garantizan que hay un máximo en x=0 y un mínimo en x=2

f(0)=\frac{0^2}{0-1}=0 \longrightarrow \textcolor{blue}{MAX(0,0)}

f(2)=\frac{2^2}{2-1}=4 \longrightarrow \textcolor{blue}{MIN(2,4)}

Con los datos anteriores podemos dibujar la gráfica

Comentar el ejercicio

Mensajes