Navega sin publicidad Regístrate GRATIS

Selectividad Andalucía 2021-1-A2

andalucíaecuacion_matricialEjercicios_ResueltosMatemat_Soc_Andalucia_2021matricesmatriz inversapotencia_matricesselectividad

Se consideran las matrices
A=\left( \begin{array}{ccc}     a & 4  \\ 6 & 8 \end{array} \right) \: \: , \: \:B=\left( \begin{array}{ccc}     2 & 2  \\ 3 & 3 \end{array} \right) \: \quad y \:   C=\left( \begin{array}{ccc}     1 & 2  \end{array} \right)

a) Calcule el valor del parámetro a para que la matriz A no tenga inversa.
b) Para a = 3, resuelva la ecuación matricial X \cdot A - X \cdot B = C .
c) Para a = 3, compruebe que A^2 = 11 \cdot A y exprese A^8
en función de la matriz A.

SOLUCIÓN

a) Para que no tenga inversa su determinante tiene que ser cero.

\nexists A^{-1} \iff |A|=0 \iff \left| \begin{array}{ccc} a & 4 \\ 6 & 8 \end{array} \right| = 0 \iff 8a-24=0 \iff
\iff 8a=24 \iff a=\frac{24}{8} \iff \fbox{a=3}

b) X \cdot A - X \cdot B = C
Veamos cuál es la dimensión de la matriz X.
X \cdot A y X \cdot B deben tener la misma dimensión (para poder restarlas) y debe coincidir con la dimensión de C, que es 1 \times 2

Por tanto X \cdot A tiene que se de dimensión 1 \times 2, con lo que X tiene que ser de dimensión 1 \times 2

Podemos llamar a sus elementos así: X=\left( \begin{array}{ccc}  x & y  \end{array} \right)

Entonces la ecuación matricial quedaría así:

X \cdot A - X \cdot B = C

\left( \begin{array}{ccc}  x & y  \end{array} \right) \cdot \left( \begin{array}{ccc}     3 & 4  \\ 6 & 8 \end{array} \right) - \left( \begin{array}{ccc}  x & y  \end{array} \right) \cdot \left( \begin{array}{ccc}     2 & 2  \\ 3 & 3 \end{array} \right) = \left( \begin{array}{ccc}     1 & 2  \end{array} \right)

\left( \begin{array}{ccc}  3x+6y & 4x+8y  \end{array} \right)  - \left( \begin{array}{ccc}  2x+3y & 2x+3y  \end{array} \right)  = \left( \begin{array}{ccc}     1 & 2  \end{array} \right)

\left( \begin{array}{ccc}  x+3y & 2x+5y  \end{array} \right)    = \left( \begin{array}{ccc}     1 & 2  \end{array} \right)

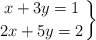
Igualamos elemento a elemento y obtenemos el sistema:

\left. x + 3y  = 1 \atop 2x + 5y = 2 \right\}

Resolviendo el sistema de dos ecuaciones con dos incógnitas obtenemos como soluciones: x=1 \quad ; \quad y=0

Por tanto, la solución de la ecuación matricial es:

X=\left( \begin{array}{ccc}  1 & 0  \end{array} \right)

Otra manera de resolver la ecuación matricial

Sin necesidad de conocer cuál es la dimensión de la matriz X , podemos resolver la ecuación matricial de la siguiente manera:

X \cdot A - X \cdot B = C

X \cdot (A - B) = C

X \cdot \underbrace{(A - B) \cdot (A-B)^{-1}}_{I} = C \cdot (A-B)^{-1}

X \ = C \cdot (A-B)^{-1}

Una vez que hemos despejado la matriz X , ahora debemos hacer los cálculos:
Primero calculamos (A-B) y después su inversa (A-B)^{-1} .
Finalmente haríamos el producto C \cdot (A-B)^{-1}

A - B = \left( \begin{array}{ccc}     1 & 2  \\ 3 & 5 \end{array} \right)

(A - B)^{-1} = \left( \begin{array}{ccc}  -5 & 2  \\ 3 & -1 \end{array} \right)

X=C \cdot (A - B)^{-1} =\left( \begin{array}{ccc}     1 & 2  \end{array} \right) \cdot  \left( \begin{array}{ccc}  -5 & 2  \\ 3 & -1 \end{array} \right) = \left( \begin{array}{ccc}     1 & 0  \end{array} \right)

c) A^2 \stackrel{?}{=} 11 \cdot A

\left( \begin{array}{ccc} 3 & 4  \\ 6 & 8 \end{array} \right) \cdot  \left( \begin{array}{ccc} 3 & 4  \\ 6 & 8 \end{array} \right) =11 \cdot \left( \begin{array}{ccc} 3 & 4  \\ 6 & 8 \end{array} \right)

\left( \begin{array}{ccc} 33 & 44  \\ 66 & 88 \end{array} \right) = \left( \begin{array}{ccc} 33 & 44  \\ 66 & 88 \end{array} \right)

Por tanto si que es cierto.

A^2 = 11 \cdot A

A^3 = A^2 \cdot A = (11 \cdot A) \cdot A = 11^2 \cdot A

A^4 = A^2 \cdot A^2 =(11 \cdot A) \cdot (11 \cdot A) = 11^2 \cdot A^2 = 11^2 \cdot 11 \cdot A = 11^3 \cdot A

No hace falta calcular más .. para saber que

\fbox{A^8 = 11^7 \cdot A}

Comentar el ejercicio