Navega sin publicidad Regístrate GRATIS

Selectividad Andalucía 2019-Junio-B3

andalucíaEjercicios_ResueltosMatemat_Soc_Andalucia_2019probabilidadselectividad

El 69 % de los habitantes de una determinada ciudad ven series, el 35 % películas y el 18 % no ven ni series ni películas. Se elige al azar un habitante de la ciudad.

 a) Calcule la probabilidad de que vea series o películas.
 b) Sabiendo que ve series, calcule la probabilidad de que vea películas.
 c) ¿Cuál es la probabilidad de que vea series y no vea películas?

SOLUCIÓN

Sucesos a considerar:

S \longrightarrow "Ver Series"
P \longrightarrow "Ver Películas"

Datos del enunciado:

P(S)=0.69
P(P)=0.35
P(S^c \cap P^c)=0.18

 a) Calcule la probabilidad de que vea series o películas.

Me piden P(S \cup P)

P(S^c \cap P^c) \stackrel{\color{blue}{*}}{=} P\left((S \cup P)^c\right) =0.18

P(S \cup P) = 1 - 0.18 = \fbox{0.82}

(\color{blue}{*}) Leyes de Morgan

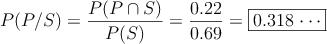
 b) Sabiendo que ve series, calcule la probabilidad de que vea películas.

Se trata de una probabilidad condicionada ("sabiendo que")

P(P/S)=\frac{P(P \cap S)}{P(S)}=\frac{P(P \cap S)}{0.69}

Para calcular P(P \cap S) podemos usar la fórmula de la unión:

P(P \cup S) = P(P) + P(S) - P(P \cap S)
0.82 = 0.35 + 0.69 - P(P \cap S)
P(P \cap S) = 0.35 + 0.69 - 0.82 = 0.22

P(P/S)=\frac{P(P \cap S)}{P(S)}=\frac{0.22}{0.69} = \fbox{0.318 \cdots}

 c) ¿Cuál es la probabilidad de que vea series y no vea películas?

P(S \cap P^c)= P(S) - P(S \cap P) = 0.69-0.22=\fbox{0.47}

Comentar el ejercicio